Dn32電磁流量計價格
2021-04-22
Dn32電磁流量計是眾多電磁流量計中的一種,dn32表示的是電磁流量計的一種口徑,電磁流量計根據用戶的不同需求具有不同種類的口徑。
有的用戶問到dn32電磁流量計的
Dn32電磁流量計是眾多電磁流量計中的一種,dn32表示的是電磁流量計的一種口徑,電磁流量計根據用戶的不同需求具有不同種類的口徑。
有的用戶問到dn32電磁流量計的價格,那我要告訴大家的是,儀器儀表不同于其他產品,畢竟是應用于工業場合,如果只是貪圖便宜而購買了質量不過關的電磁流量計,白花了冤枉錢不說,更會因此而耽誤工期,那么你也會因此而蒙受更大的損失,那么今天我就以dn32電磁流量計為例,來給大家講一講什么是電磁流量計,電磁流量計口徑的選擇規則,讓大家在購買的時候不會被不良廠家忽悠。
原理:電磁流量計(Electromagnetic Flowmeters,簡稱EMF)是20世紀50~60年代隨著電子技術的發展而迅速發展起來的新型流量測量儀表。
電磁流量計是應用電磁感應原理, 根據導電流體通過外加磁場時感生的電動勢來測量導電流體流量的一種儀器。
結構:電磁流量計的結構主要由磁路系統、測量導管、電極、外殼、襯里和轉換器等部分組成。
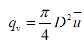
口徑與量程的選擇:變送器口徑通常選用與管道系統相同的口徑。如果份道系統有待設計,則可根據流母范圍和流速來選擇口徑。
對于電磁流量計來說,流速以2-4m/s較為適宜。在特殊情況下. 如液體中帶有固體顆粒,考慮到磨損的情況,可選常用流速≤3m/s,對于易附管壁的流體,可選用流速≤2m/s,流速確定以后,可根據

來確定變送器口徑。
變送器的量程可以根據兩條原則來選擇:一是儀表滿量程大于預計的最大流量值,二是正常流值大于儀表滿量程的50%,以保證一定的測量精度。
通過上面我為大家介紹的電磁流量計的結構以及選型的規則,想必大家已經對電磁流量計有了個大概的了解,那么針對dn32等口徑的電磁流量計的價格問題,我想告訴大家的是,目前市場上生產電磁流量計的廠家有很多,質量參差不齊,價格更是高低不一,因此大家在考慮dn32等口徑的電磁流量計的價格的時候,首先要明白nd32等這些口徑到底適不適合你的工況。
另外也要考慮精度、材質以及廠家的技術服務等問題,有朋友以前用過杭州米科的電磁流量計,反映使用的還不錯,那么我在這里也為大家介紹一下杭州米科。
杭州米科傳感技術有限公司(簡稱米科傳感)是德國米科集團在中國大陸的子公司,總部位于浙江杭州,并且在全國各地都有辦事處,而且有專業的售后服務團隊,承諾48個小時為你排憂解難,讓你在購買后就算出現問題也不用擔心。
而且杭州米科的電磁流量計采用不銹鋼的材質,因此可以抗腐蝕,并且采用優質襯里和電極,誤差小,在這里給大家說了很多,那大家不管是口徑還是價格,都可以去杭州米科官網上看一下,說不定那里就有你苦苦尋找的一款儀器呢。
最新資訊
-
美儀完成數億元B輪融資
本輪融資將用于供應鏈創新、產品研發、全球服務網絡和數字化建設。此前,美儀股份已于2021年12月、2022年7月分別完成A輪與A+輪融資。...
-
“你是我這輩子見到的,第一個中國儀表人”
Ngubane 坦言,雖然沒有去過中國,但對中國近些年的高速發展留下了深刻印象,而且身邊一些親友也在中國留學。所以,第一次采用中國儀表,第一次見到來自中國的儀表人,才會這么興奮。...
-
非海外倉建成啟用!
2023年7月6日,位于南非約翰內斯堡的美儀海外倉建成啟用。...
-
安卡拉,我們來了!
2023年7月1日,位于土耳其首都安卡拉(Ankara)的美儀辦事處正式成立。...
-
世界環境日,美儀宜興辦事處成立!
2023年6月5日,恰逢第50個世界環境日,位于「中國環保之鄉」——宜興的美儀辦事處正式啟用。...
-
剛剛,中國計量大學第6屆“美儀獎助學金”頒發!
人才培養任重道遠,美儀將上下而求索!...
-
今天,美儀在東南亞有新動作!
近日,500多位美儀奮斗者、客戶代表、合作伙伴、地方領導等共同見證了美儀科技園正式啟用這一里程碑式時刻。...
-
簽了!美儀與中國儀器儀表行業協會達成戰略合作
米科母公司美儀與中國儀器儀表行業協會達成戰略合作。...
-
在德國漢諾威,美儀還是這么火
德國當地時間4月17日至21日,美儀亮相全球最大、最具影響力的工業展——2023年德國漢諾威工業博覽會,與來自世界各個國家和地區的約4000家參展商同臺,盡顯工業之美。...
-
史上最大規模的中國環博會,來嗎?來吧!
米科母公司美儀,將盛裝亮相第24屆中國環博會,誠摯邀請廣大新老客戶蒞臨參觀指導。...
137 5825 7245
服務熱線:137 5825 7245
聯系電話:137 5825 7245
公司傳真:0571-88384602
公司郵箱:1809685586@qq.com
公司地址:杭州錢塘新區科技園路2號
